Currently I am writing my thesis on the following topic: How do Austerity Measures after Financial Crises influence Social Indicators in OECD Countries?
For this I am measuring the government spending shocks using the methodology of Blanchard and Perotti (2002). I am performing an SVAR in Eviews 8, before running a historical decomposition to obtain the quarterly shocks.
However, I am having issues with entering the AB matrices as the structural restrictions in accordance with their methodology into Eviews
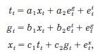
I am using the following variables: log of real government spending per capita, log of real government revenue per capita and log of real GDP per capita. The original matrices is included as an attachment.
From what I comprehend, there are now too many unknowns and thus, assumptions should be made. b1 is assumed to be zero that government spending is determined separately from GDP within the same quarter.
As I am running 25 SVARs one for each country, it is not possible for me to test both a2 and b2. Thus I assumed the following:
It is unclear whether changes in government revenue impact spending or vice versa. By setting for example a2 to zero and b2 to a non zero value it would mean that spending response to changes in government revenue and vice versa. Blanchard and Perotti (2002) find that the correlation between government revenue and spending are small enough to not have a great impact on the results. Thus, it shall be assumed that spending come first and influence changes in government revenue (a2 is non zero and b2 is equal to zero) as the focus is on the impact of spending on an economy not taxation.
I first ran a VAR with 4 lags and ordering the variables as follows: government spending, government revenue and gdp.
Next I imposed short term restrictions using the a b matrices in the file.
When I run the svar I receive an error though.
If anyone could help I would really appreciate it. Thank you in advance.
structural var - a b matrices of Blanchard and Perotti (2002
Moderators: EViews Gareth, EViews Moderator
structural var - a b matrices of Blanchard and Perotti (2002
- Attachments
-
- matrices.png (2.08 KiB) Viewed 10042 times
-
- australia svar error.WF1
- (22.2 KiB) Downloaded 600 times
Re: structural var - a b matrices of Blanchard and Perotti (
Your A and B matrix specifications in the workfile are incorrect. You should place "NA" for each parameter to be estimated. Even if there is nothing wrong with your model, you can still experience convergence problems when estimating SVAR models as they may not always be globally identified. You can experiment with different starting values (Options tab), and check for the robustness of results even if they converge.
Re: structural var - a b matrices of Blanchard and Perotti (
I am not sure what you mean with this, I have placed NA for all the estimates except for those I made the assumption were 0.
For those that I assume to be 0 should I also write NA?
Thank you for your reply!
For those that I assume to be 0 should I also write NA?
Thank you for your reply!
Re: structural var - a b matrices of Blanchard and Perotti (
I still receive the error when I place all the original restrictions (from the image as NA) in eviews.
Re: structural var - a b matrices of Blanchard and Perotti (
NAs correspond to parameters that are going to be estimated. In your case; a1,b1,a2,b2,c1 and c2 should all be NAs in the pattern matrices. What I try to emphasize is that, you may not obtain a feasible solution even if nothing is inherently wrong with your model. SVARs may suffer from global identification issues and it is really not uncommon.
Re: structural var - a b matrices of Blanchard and Perotti (
Trubador, thank you for your replies. I think I made a mistake in the file I uploaded but as explained not all of the above variables should be NA due to certain assumptions.NAs correspond to parameters that are going to be estimated. In your case; a1,b1,a2,b2,c1 and c2 should all be NAs in the pattern matrices. What I try to emphasize is that, you may not obtain a feasible solution even if nothing is inherently wrong with your model. SVARs may suffer from global identification issues and it is really not uncommon
I have included an example file (EVIEWS
Blanchard and Perotti (2002) use the original matrices I posted. However, due to the number of unknowns they pose additional restrictions on the model. Basically a1 and b1 can either be set to 0 or set to a constant as in this example file. Furthermore, either a2 or b2 are set to 0 to show the relationship between government spending and taxes (the example does both using two different matrices).
I have also attached the original equations from Blanchard and Perotti (2002) (http://people.terry.uga.edu/last/classe ... erotti.pdf)
However, I have three issues with this file which I am unsure of:
1. For matrix B the diagonal is set to NA. From what I understood this is to capture the standard deviations?
2. What happens to c1 and c2, why are they not set to NA.
3. Is the purpose of setting a1 and b1 to a constant through the equations govexp = C(1) + gdp and govrev = C(1) + gdp to capture the elasticity of the variables.
I understand that identification issues are not uncommon, however, this is a well known methodology so it should not result in such out of the ordinary results.
Thank you for your help
- Attachments
-
- lawrence-1.wf1
- (55.25 KiB) Downloaded 587 times
-
- Formulas.png (3.59 KiB) Viewed 9901 times
Re: structural var - a b matrices of Blanchard and Perotti (
Hi,
I am writing my thesis following the same paper Blanchard and Perotti (2002) usign Eviews. Could you please let me know if you figured out how to impose correct restrictions?
Thank you!
I am writing my thesis following the same paper Blanchard and Perotti (2002) usign Eviews. Could you please let me know if you figured out how to impose correct restrictions?
Thank you!
Who is online
Users browsing this forum: No registered users and 2 guests
