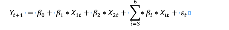
Hello, maybe a bit cryptic, but if I find non-stationary variables and I want to estimate them in a predictive regression like so in the second picture
Note: all in log form, with each X = 1 control variables: so 4 variables in the sum with each a different coefficient, including 1 lagged dependent term making it a sort of Autoregressive model.
Can I after unit root testing and concluding that some variables are non-stationary argue that I needed to estimate stationary variables with stationary variables to avoid spurious regressions?
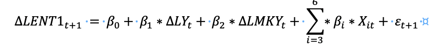
therefore estimate an equation like so:
d(lent3) d(lmky(-1)) d(ly(-1)) d(lrend(-1)) d(lltr(-1)) d(ldy(-1)) d(lent3(-1)) c
(I added the equation for this line in the first picture)
By the way for critics, I know the correct procedure is maybe check for co-integration first between all variables by doing the F-bounds test by PSS and critical values of Narayan. And if they co-integrate interprete the levels equation and look at the ECM form?
BUT, is my first technique correct as well? Can I say that these are short run effects from the last year. Log difference measuring the % growth of a variable..
Thanks in advance
D(LOG) - D(LOG) in Eviews 11
Moderators: EViews Gareth, EViews Moderator
D(LOG) - D(LOG) in Eviews 11
- Attachments
-
- Screenshot 2020-08-02 at 17.11.43.png (21.05 KiB) Viewed 14810 times
-
- Screenshot 2020-08-02 at 16.37.03.png (18.22 KiB) Viewed 14812 times
Return to “Econometric Discussions”
Who is online
Users browsing this forum: No registered users and 1 guest
