Hi i am follwing a paper to run cointegration and vector error correction model :
after that the paper -->
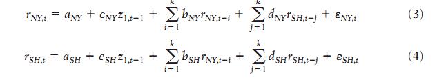
i think the paper treat the error correction model as the mean equation.. the problem is that i have no idea on how to specify VECMmean equation in eviews.
instead, i proc-> make residual (resid01and resid02) from the error correction model, and then specify the mean equation in GARCH as "resid01" no constant and other independent variables included. is it OK? what can i do?
many thanks!!!!
GARCH (1,1), mean equation
Moderators: EViews Gareth, EViews Moderator
Who is online
Users browsing this forum: No registered users and 2 guests
