excuse me
and in this problem
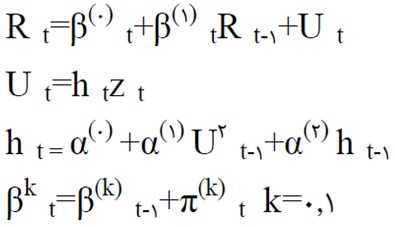
How can we underestand measure of coefficients beta0, beta1?????
It is worth noting that to corroborate the weak form efficiency hypothesis, the estimated value of
βi,t(1) should be either equal to ‘zero’ or statistically insignificant.
Plz help me
Search found 1 match
- Mon Oct 03, 2016 5:25 am
- Forum: Estimation
- Topic: Estimating state space model for GARCH(1,1)
- Replies: 18
- Views: 119828
